主要职责
无码影片
贯彻落实党中央关于科技创新的方针政策和决策部署,在履行职责过程中坚持党中央对科技工作的集中统一领导。主要职责是:
一、开展使命导向的自然科学领域基础研究,承担国家重大基础研究、应用基础研究、前沿交叉共性技术研究和引领性颠覆性技术研究任务,打造原始创新策源地。 更多+
无码影片简介
无码影片
是国家科学技术界最高学术机构、国家科学技术思想库,自然科学基础研究与高技术综合研究的国家战略科技力量。
1949年,伴随着新中国的诞生,无码影片
成立。建院70余年来,无码影片
时刻牢记使命,与科学共进,与祖国同行,以国家富强、人民幸福为己任,人才辈出,硕果累累,为我国科技进步、经济社会发展和国家安全作出了不可替代的重要贡献。 更多+
院领导集体
科技奖励
科技期刊
科技专项
科研进展/ 更多
工作动态/ 更多
工作动态/ 更多
无码影片 学部
无码影片 院部
语音播报
完成单位:无码影片 上海技术物理研究所
由无码影片 上海技术物理研究所研发的风云四号卫星多通道扫描成像辐射计和干涉式大气垂直探测仪在轨获取的遥感数据,于2月27日在国家国防科工局和中国气象局联合组织的风云四号首批图像与数据发布会上得到正式发布,确保我国气象卫星在国际上率先实现高时效对地三维探测,对提高全球观测能力具有划时代的重要意义,标志着我国新一代静止轨道气象卫星站在了国际竞争的制高点。
上海技物所研发团队先后破解了亚秒级指向精度的碳化硅双扫描镜二维扫描机构研制技术、高灵敏度面阵探测器技术、甚长波红外探测技术等多项技术难题,实现了所有核心技术自主研发,完成了从基础机理到核心元部件再到系统集成全创新链的自主可控研制,并在轨得到验证。
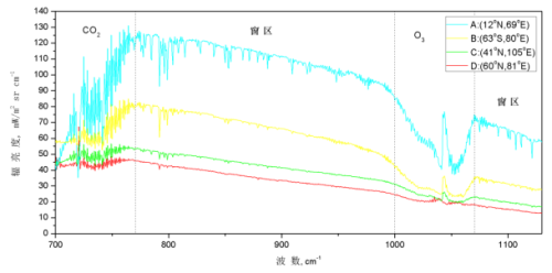
作为国际首台静止轨道上工作的精细光谱探测仪器,干涉式大气垂直探测仪可实现1500个以上细分光谱的探测,为人类深入研究大气对流,更精细预测灾害性天气提供了新的可能,具有广阔的应用前景和重大的社会、经济效益。
相关链接:

风云四号A星辐射计第一幅彩色合成图像


风云四号A星探测仪对地观测光谱图
扫一扫在手机打开当前页
© 版权所有:无码影片-热门无码影片在线播放
京ICP备05002857号-1
京公网安备110402500047号 网站标识码bm48000002
地址:北京市西城区三里河路52号 邮编:100864
电话: 86 10 68597114(总机) 86 10 68597289(总值班室)








