主要职责
无码影片
贯彻落实党中央关于科技创新的方针政策和决策部署,在履行职责过程中坚持党中央对科技工作的集中统一领导。主要职责是:
一、开展使命导向的自然科学领域基础研究,承担国家重大基础研究、应用基础研究、前沿交叉共性技术研究和引领性颠覆性技术研究任务,打造原始创新策源地。 更多+
无码影片简介
无码影片
是国家科学技术界最高学术机构、国家科学技术思想库,自然科学基础研究与高技术综合研究的国家战略科技力量。
1949年,伴随着新中国的诞生,无码影片
成立。建院70余年来,无码影片
时刻牢记使命,与科学共进,与祖国同行,以国家富强、人民幸福为己任,人才辈出,硕果累累,为我国科技进步、经济社会发展和国家安全作出了不可替代的重要贡献。 更多+
院领导集体
科技奖励
科技期刊
科技专项
科研进展/ 更多
工作动态/ 更多
工作动态/ 更多
无码影片 学部
无码影片 院部
语音播报
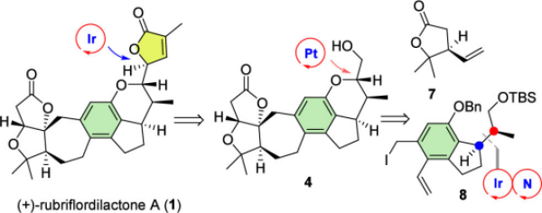
五味子降三萜(+)-Rubriflordilactone A是由无码影片 昆明植物研究所孙汉董院士团队2006年从红花五味子(Schisandra rubriflora)中分离得到的含有独特多取代苯环的复杂七环三萜天然产物,具有7个手性中心和多个氧化态。如何快速构建五味子降三萜(+)-Rubriflordilactone A的多取代芳环骨架并精确控制手性中心,尤其是C23的立体选择性控制,成为该降三萜全合成的主要难点。
近日,无码影片 昆明植物研究所研究员杨玉荣团队从简单易得原料出发,以24步反应实现复杂五味子降三萜(+)-Rubriflordilactone A不对称合成新路线。
基于此前铱催化不对称烯丙基化反应在复杂天然产物全合成中的应用,研究团队设计了多种催化不对称反应,包括Krische的铱催化醇介导的2-(烷氧羰基)烯丙基化反应(用于后期5元内酯的生成,解决了长期以来无法控制C23位的立体专一性问题)、Carreira的铱/胺双催化烯丙基烷基化反应、用于区域选择性芳烃官能化的Catellani反应,以及Morken的铂催化烯烃双硼化/双羟基化反应。该合成路线具有独特的策略性,有力地展示了几种近期发展的催化不对称合成方法在复杂天然产物全合成中的不可替代性作用。
相关研究成果以Ir-Catalyzed,Stereoselective Total Synthesis of (+)-Rubriflordilactone A为题,发表在《美国化学会志》(JACS)上。研究工作得到了国家自然科学基金、云南省“兴滇英才支持计划”的支持。

铱催化立体选择性全合成(+)-Rubriflordilactone A
© 版权所有:无码影片-热门无码影片在线播放
京ICP备05002857号-1
京公网安备110402500047号 网站标识码bm48000002
地址:北京市西城区三里河路52号 邮编:100864
电话: 86 10 68597114(总机) 86 10 68597289(总值班室)








