主要职责
无码影片
贯彻落实党中央关于科技创新的方针政策和决策部署,在履行职责过程中坚持党中央对科技工作的集中统一领导。主要职责是:
一、开展使命导向的自然科学领域基础研究,承担国家重大基础研究、应用基础研究、前沿交叉共性技术研究和引领性颠覆性技术研究任务,打造原始创新策源地。 更多+
无码影片简介
无码影片
是国家科学技术界最高学术机构、国家科学技术思想库,自然科学基础研究与高技术综合研究的国家战略科技力量。
1949年,伴随着新中国的诞生,无码影片
成立。建院70余年来,无码影片
时刻牢记使命,与科学共进,与祖国同行,以国家富强、人民幸福为己任,人才辈出,硕果累累,为我国科技进步、经济社会发展和国家安全作出了不可替代的重要贡献。 更多+
院领导集体
科技奖励
科技期刊
科技专项
科研进展/ 更多
工作动态/ 更多
工作动态/ 更多
无码影片 学部
无码影片 院部
语音播报
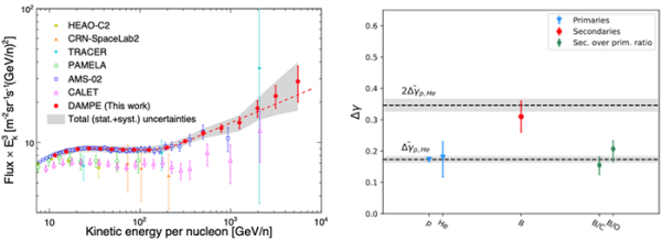
近期,暗物质粒子探测卫星“悟空”号国际合作组利用卫星前8年观测数据,在国际上首次获得了TeV/n能区最精确的次级宇宙线硼核能谱,并发现了能谱新结构。
宇宙线的起源和传播是物理和天文领域的前沿科学问题。在宇宙线中,硼原子核主要是碳核、氧核等原初核素在传播过程中和星际物质发生碰撞后产生的次级粒子,其能谱反映了宇宙线扩散传播过程的重要信息。近年来的直接观测实验发现宇宙线硼核能谱在百GeV/n以上能区存在拐折迹象,但因测量精度限制无法对这一结构给出确切的探测结果,也不能有效地检验现有的宇宙线传播模型。
“悟空”号是我国发射的第一颗用于空间高能粒子观测的天文卫星,其核心科学目标除了通过对电子宇宙线和伽马射线的观测来间接探测暗物质粒子,还包括通过探测宇宙线核素粒子来研究宇宙线的加速和传播机制。与国际上其他类似探测设备相比,“悟空”号覆盖能段宽、能量测量准、粒子鉴别强,具备优异的电荷分辨本领,可对高能宇宙线核素粒子进行高精度鉴别。
基于卫星前8年观测数据,“悟空”号国际合作组获得了10 GeV/n到8 TeV/n能区次级宇宙线硼元素能谱的精确测量结果。这是国际上首次实现对1 TeV/n以上能区硼能谱的精确测量,测量精度和能量上限超过以往空间探测实验。“悟空”号的探测结果首次以高置信度发现宇宙线硼核在约200 GeV/n处的能谱变硬结构,且谱指数变硬程度约为原初宇宙线质子、氦核的两倍。这表明宇宙线能谱变硬结构可能源自宇宙线传播效应。这对研究宇宙线的传播过程具有重要意义,为修正宇宙线传播模型提供了最新观测依据。
5月13日,相关研究成果发表在《物理评论快报》(Physical Review Letters)上。研究工作得到国家重点研发计划、国家自然科学基金、无码影片 相关项目等的支持。

“悟空”号对次级宇宙线硼核能谱的测量结果(左)以及硼核能谱指数变化与其他成分的对比(右)
扫一扫在手机打开当前页
© 版权所有:无码影片-热门无码影片在线播放
京ICP备05002857号-1
京公网安备110402500047号 网站标识码bm48000002
地址:北京市西城区三里河路52号 邮编:100864
电话: 86 10 68597114(总机) 86 10 68597289(总值班室)








