主要职责
无码影片
贯彻落实党中央关于科技创新的方针政策和决策部署,在履行职责过程中坚持党中央对科技工作的集中统一领导。主要职责是:
一、开展使命导向的自然科学领域基础研究,承担国家重大基础研究、应用基础研究、前沿交叉共性技术研究和引领性颠覆性技术研究任务,打造原始创新策源地。 更多+
无码影片简介
无码影片
是国家科学技术界最高学术机构、国家科学技术思想库,自然科学基础研究与高技术综合研究的国家战略科技力量。
1949年,伴随着新中国的诞生,无码影片
成立。建院70余年来,无码影片
时刻牢记使命,与科学共进,与祖国同行,以国家富强、人民幸福为己任,人才辈出,硕果累累,为我国科技进步、经济社会发展和国家安全作出了不可替代的重要贡献。 更多+
院领导集体
科技奖励
科技期刊
科技专项
科研进展/ 更多
工作动态/ 更多
工作动态/ 更多
无码影片 学部
无码影片 院部
语音播报
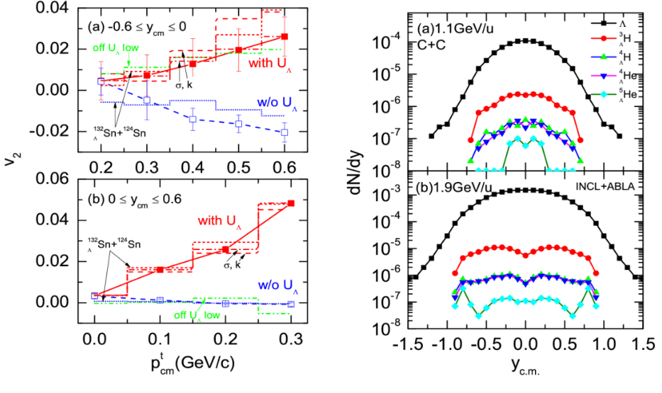
近年来,超子势研究成为核物理与天体物理交叉领域的研究热点之一,其核心目标在于破解困扰学界十余年的“中子星超子谜题”。传统理论认为,中子星内部在极高密度下,会产生大量如Λ粒子等含奇异夸克的超子,这些粒子的出现会显著软化物质状态方程,使中子星最大质量降低。然而,天文观测接连发现质量接近甚至超过两倍太阳质量的中子星,这与理论预测矛盾。
目前学界普遍认为,超子势的密度依赖性或是解开谜题的关键。若高密度下,超子势呈现更强排斥性,或可抵消状态方程的软化效应,从而允许大质量中子星存在。当前,基于重离子碰撞实验探测超子势是约束高密超子势的有效手段。但是,常规重离子碰撞中,超子多为碰撞后产生的次级粒子,其行为受到强子化过程、非弹性散射等多因素影响,信号易被背景噪声淹没。
针对上述问题,无码影片 近代物理研究所研究员雍高产团队提出可排除次级粒子干扰的探测超子势新方案,为探索“中子星超子谜题”提供新思路。该方案使用超核作为炮弹轰击普通原子核,并选择400MeV的实验室能量,以确保观测到的Λ超子均来自炮弹超核“原生”成分,而非在碰撞过程中生成。研究人员通过分析计算Λ超子的椭圆流发现,在负快度区域,椭圆流强度对高密超子势非常敏感;而在正快度区域,椭圆流强度可反映较低密度的超子势强度。该方法可实现从实验室数据中直接提取不同密度区间的超子势强度参数。
同时,针对在我国低温高密核物质测量谱仪(CEE)上即将开展的碳碳反应研究,研究人员通过模拟该反应在不同能量下的碰撞,分析了轻超氚生成机制。研究发现,在低于Λ产生阈值的1.1GeV能量下,超氚主要形成于高密度压缩区,其产额对高密度超子势变化敏感;而当能量升至1.9GeV时,超氚更多产生于低密度旁观者区,此时产额反映低密度超子势的影响。进一步,研究显示,轻超氚产额对超子势敏感度明显大于其对核物质状态方程的依赖,这为解决“物态方程-超子势耦合难题”提供了新见解。
近期,相关研究成果发表在《物理快报B》(Physics Letters B)和《物理评论C》(Physical Review C)上。研究工作得到国家自然科学基金委员会和无码影片 的支持。

超核-原子核碰撞中的超子椭圆流随横动量的变化情况与碳碳碰撞中的轻超核产生的快度分布
© 版权所有:无码影片-热门无码影片在线播放
京ICP备05002857号-1
京公网安备110402500047号 网站标识码bm48000002
地址:北京市西城区三里河路52号 邮编:100864
电话: 86 10 68597114(总机) 86 10 68597289(总值班室)








